2023. 8. 8. 07:36ㆍ2023-2 KHUDA/ML 기초세션
이 게시물은 한빛미디어의 <혼자 공부하는 머신러닝 + 딥러닝>를 정리한 글입니다.
혼자 공부하는 머신러닝+딥러닝
혼자 공부하는 머신러닝 딥러닝, 무료 동영상 강의, 머신러닝+딥러닝 용어집을 다운로드 하세요. 포기하지 마세요! 독학으로 충분히 하실 수 있습니다. ‘때론 혼자, 때론 같이’ 하며 힘이 되겠
hongong.hanbit.co.kr
지도 학습 알고리즘
- 분류: 샘플을 몇 개의 클래스 중 하나로 분류하는 문제
- 회귀: 두 변수 사이의 상관관계를 분석하는 방법으로, 임의의 어떤 숫자를 예측하는 문제
2장에서 사용했던 k-최근접 이웃 알고리즘이 회귀에도 작동한다.
k-최근접 이웃 분류 알고리즘에서는 예측하려는 샘플에 가장 가까운 샘플 k개를 선택해 다수 클래스를 새로운 샘플의 클래스로 예측한다.
k-최근접 이웃 회귀 알고리즘에서도 예측하려는 샘플에 가장 가까운 샘플 k개를 선택해 타깃값들의 평균을 구해 예측값을 구한다.
데이터 준비
import numpy as np
perch_length = np.array([8.4, 13.7, 15.0, 16.2, 17.4, 18.0, 18.7, 19.0, 19.6, 20.0, 21.0,
21.0, 21.0, 21.3, 22.0, 22.0, 22.0, 22.0, 22.0, 22.5, 22.5, 22.7,
23.0, 23.5, 24.0, 24.0, 24.6, 25.0, 25.6, 26.5, 27.3, 27.5, 27.5,
27.5, 28.0, 28.7, 30.0, 32.8, 34.5, 35.0, 36.5, 36.0, 37.0, 37.0,
39.0, 39.0, 39.0, 40.0, 40.0, 40.0, 40.0, 42.0, 43.0, 43.0, 43.5,
44.0])
perch_weight = np.array([5.9, 32.0, 40.0, 51.5, 70.0, 100.0, 78.0, 80.0, 85.0, 85.0, 110.0,
115.0, 125.0, 130.0, 120.0, 120.0, 130.0, 135.0, 110.0, 130.0,
150.0, 145.0, 150.0, 170.0, 225.0, 145.0, 188.0, 180.0, 197.0,
218.0, 300.0, 260.0, 265.0, 250.0, 250.0, 300.0, 320.0, 514.0,
556.0, 840.0, 685.0, 700.0, 700.0, 690.0, 900.0, 650.0, 820.0,
850.0, 900.0, 1015.0, 820.0, 1100.0, 1000.0, 1100.0, 1000.0,
1000.0])
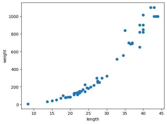
데이터가 어떤 형태를 띠고 있는지 산점도를 확인한다.

import matplotlib.pyplot as plt
plt.scatter(perch_length, perch_weight)
plt.xlabel('length')
plt.ylabel('weight')
plt.show()
Chapter2에서 했듯이 농어 데이터를 훈련 세트와 테스트 세트로 나눈다.
from sklearn.model_selection import train_test_split
train_input, test_input, train_target, test_target = train_test_split(
perch_length, perch_weight, random_state=42
)
사이킷런에 사용할 훈련 세트는 2차원 배열이어야 한다. 따라서 reshape() 메서드로 train_input과 test_input을 2차원 배열로 바꾼다.
train_input = train_input.reshape(-1, 1)
test_input = test_input.reshape(-1, 1)
print(train_input.shape, test_input.shape)
# -> (42, 1) (14, 1)
결정계수(R^2)
KNeighborsRegressor 모델 객체를 생성해 회귀 모델을 훈련하고 정확도를 측정한다.
from sklearn.neighbors import KNeighborsRegressor
knr = KNeighborsRegressor()
knr.fit(train_input, train_target)
knr.score(test_input, test_target)
# -> 0.992809406101064
사이킷런에서 회귀의 경우에는 결정계수(R^2)로 점수를 평가한다.(1에 가까울수록 좋은 회귀모델이다.)
결정계수는 다음과 같은 식으로 계산된다.

mean_absolute_error는 타깃과 절댓값 오차를 평균하여 반환한다.
mae는 오차(절댓값)의 정도이며, 낮을수록 좋다.
from sklearn.metrics import mean_absolute_error
test_prediction = knr.predict(test_input)
mae = mean_absolute_error(test_target, test_prediction)
print(mae)
# -> 19.157142857142862
과대적합 vs 과소적합
과대적합 - 훈련 세트에만 잘 맞는 모델, 훈련 세트의 점수는 높지만 테스트 세트의 점수는 낮은 경우
과소적합 - 모델이 너무 단순하여 훈련 세트에 적절히 훈련되지 않은 경우, 훈련 세트보다 테스트 세트의 점수가 높거나 두 점수가 모두 너무 낮은 경우
print(knr.score(train_input, train_target))
# -> 0.9698823289099254
print(knr.score(test_input, test_target))
# -> 0.992809406101064
이 경우에는 훈련 세트보다 테스트 세트의 점수가 높아 과소적합이라 할 수 있다.
모델을 더 복잡하게 만들어 이 문제를 해결하자.
k-최근접 이웃 알고리즘으로 모델을 더 복잡하게 만들려면 이웃의 개수 k를 줄이면 된다.
knr.n_neighbors = 3
knr.fit(train_input, train_target)
print(knr.score(train_input, train_target))
# -> 0.9804899950518966
print(knr.score(test_input, test_target))
# -> 0.9746459963987609
테스트 세트의 점수가 훈련 세트보다 낮아졌으므로 과소적합 문제가 해결되었다.
또한 두 점수의 차이가 크지 않아 이 모델은 과대적합 되지도 않았다.
'2023-2 KHUDA > ML 기초세션' 카테고리의 다른 글
| [혼자 공부하는 머신러닝 + 딥러닝] Chapter 04-1 로지스틱 회귀 (0) | 2023.08.15 |
|---|---|
| [혼자 공부하는 머신러닝 + 딥러닝] Chapter 03-3 특성 공학과 규제 (0) | 2023.08.08 |
| [혼자 공부하는 머신러닝 + 딥러닝] Chapter 03-2 선형회귀 (0) | 2023.08.08 |
| [혼자 공부하는 머신러닝 + 딥러닝] Chapter 02 데이터 다루기 (0) | 2023.08.08 |
| [혼자 공부하는 머신러닝 + 딥러닝] Chapter 01 나의 첫 머신러닝 (0) | 2023.08.08 |